Owieczka Net
Search
Trace:
•
zadanie02
About
Nagrody i wyróżnienia
Teaching Resources
Publikacje
Seminaria
Students Projects
Research Projects
Research
Databases
Software
Movie
Contact
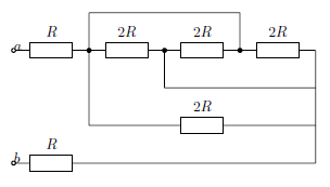
Zadanie 2
Oblicz rezystancje zastępczą układu przedstawionego na rysunku poniżej